Plectin-1靶向探针如何实现胰腺癌的精准诊断?
胰腺导管腺癌(PDAC)是一种高度侵袭性且预后极差的恶性肿瘤,其早期诊断困难,手术切除是主要的治疗手段。

- 最新进展
- 产品信息
最新进展
一、胰腺导管腺癌的诊断挑战与Plectin-1的靶向价值是什么?
胰腺导管腺癌(PDAC)是一种高度侵袭性且预后极差的恶性肿瘤,其早期诊断困难,手术切除是主要的治疗手段。然而,即使在成功手术后,肿瘤的复发风险依然很高。因此,开发能够实现早期诊断和术后复发监测的高灵敏度、高特异性工具对于提高患者生存率具有迫切的临床意义。
研究发现,网蛋白-1(Plectin-1)作为一种癌蛋白在PDAC细胞表面异常表达,而在正常胰腺组织中表达水平极低,使其成为理想的诊断靶点。前期研究表明,靶向Plectin-1的多肽配体KTLLPTP(PTP)能够特异性识别并结合胰腺癌细胞,这为构建靶向诊断探针提供了分子基础。基于此,研究人员开发了以Plectin-1为靶点的多功能分子探针,旨在实现对胰腺癌的精准成像诊断。
二、基于DOTA的多功能分子探针设计原理是什么?
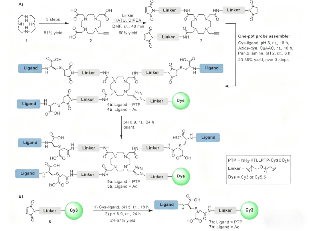
为实现对胰腺癌的高灵敏度成像,研究人员设计了一种基于环状多胺(Cyclen)支架的多功能探针。DOTA(1,4,7,10-四氮杂环十二烷-1,4,7,10-四乙酸)因其良好的化学稳定性、亲水性和多位点功能化能力,被选为理想的分子支架。
在分子设计中,研究人员在Cyclen骨架上引入了三个羧酸基团和一个炔基官能团。羧酸基团通过连接子与马来酰亚胺基团相连,后者能够与半胱氨酸残基发生特异性反应,实现靶向肽的共价连接。炔基则通过点击化学反应与荧光团连接,为成像提供信号输出。整个探针设计巧妙整合了靶向单元、信号单元和稳定单元,形成了一个多功能分子平台。
为确保探针在体内的稳定性,研究团队采取了两项关键技术措施:首先,使用青霉胺清除反应体系中的铜离子,防止其与DOTA螯合影响探针性能;其次,将半胱氨酸与马来酰亚胺的反应产物在碱性条件下进行水解处理,有效避免了可逆的迈克尔加成反应,这一改进显著提高了探针在生理环境中的稳定性。

三、Plectin重组兔单抗在靶向探针开发中有何应用价值?
Plectin重组兔单抗作为特异性识别Plectin蛋白的研究工具,在靶向探针的开发和验证中发挥着关键作用。该抗体通过免疫新西兰大白兔制备而成,具有高亲和力和高特异性,能够准确识别Plectin-1蛋白的特异性表位。
在靶向探针的设计阶段,Plectin重组兔单抗可用于确认Plectin-1在胰腺癌细胞表面的表达水平和分布特征,为靶向肽的选择和优化提供依据。通过免疫组织化学技术,该抗体能够可视化显示Plectin-1在不同病理组织中的表达差异,指导探针设计的靶向性评估。
在探针验证过程中,Plectin重组兔单抗可作为阳性对照,评估探针与靶点结合的特异性。通过竞争性结合实验,研究人员能够量化探针与Plectin-1的结合亲和力,并与抗体的结合性能进行比较。此外,该抗体还可用于建立标准化的靶点表达检测方法,为探针的性能评价提供可靠参照。
四、多功能探针在胰腺癌诊断中的实验验证结果如何?
在完成分子探针的合成后,研究团队在细胞、活体和离体组织等多个层面系统评估了其诊断性能。
在细胞水平,探针显示出对Plectin-1高表达胰腺癌细胞的高度特异性结合,荧光信号强度与Plectin-1表达水平呈正相关。竞争性抑制实验证实,探针与胰腺癌细胞的结合可被游离的靶向肽特异性阻断,验证了其靶向特异性。
在动物模型实验中,探针成功实现了对胰腺癌移植瘤的活体成像。动态成像显示,探针在肿瘤部位快速积累并持续滞留,而在正常组织中快速清除,显示出良好的靶向性和药代动力学特性。通过定量分析,研究人员发现肿瘤部位的信号强度与肿瘤大小和Plectin-1表达水平密切相关,表明探针具有定量诊断潜力。
在离体组织分析中,探针能够清晰区分胰腺癌组织与癌旁正常组织,在肿瘤边缘区域显示出精确的边界划分能力。这一特性对于指导手术切除范围的确定具有重要意义。组织学分析进一步证实,探针的摄取与Plectin-1的免疫组化染色结果高度一致,验证了其诊断准确性。
五、未来研究方向和面临的挑战是什么?
尽管Plectin-1靶向探针在胰腺癌诊断中展现出良好前景,但仍需进一步研究和优化。探针的药代动力学特性需要进一步改善,以提高靶向效率并降低非特异性摄取。在大动物模型中的安全性评价和剂量优化研究亟待开展,为临床转化奠定基础。
同时,需要开发更加灵敏的信号读取系统,提高对小病灶的检测能力。多模态成像技术的整合也是重要发展方向,通过结合不同成像模式的优势,提高诊断的准确性和可靠性。临床验证研究的开展将最终确定该技术的实际应用价值。
在这一研究过程中,Plectin重组兔单抗将继续发挥重要作用。随着研究的深入,该抗体可能被用于开发配套的诊断试剂,建立标准化的检测流程,并支持监管审批所需的各项验证研究。通过与分子探针技术的协同发展,Plectin重组兔单抗有望成为胰腺癌精准诊疗体系中的重要组成部分。
六、提供Plectin 重组兔单抗的厂商有哪些?
杭州斯达特生物科技有限公司自主研发的"Plectin重组兔单克隆抗体"(产品名:Plectin Recombinant Rabbit mAb (S-721-326),货号:S0B1355),是一款具有高特异性、优异灵敏度及卓越染色一致性的细胞骨架连接蛋白检测工具。该产品采用重组兔单克隆抗体技术开发,经免疫组化(IHC)、Western Blot(WB)及免疫荧光(IF)等多种技术平台严格验证,在细胞骨架网络研究、遗传性大疱性表皮松解症诊断及肿瘤细胞迁移机制探索等领域具有关键应用价值。
| 产品核心优势 |
|---|
| 高特异性与清晰的细胞骨架连接定位:本品能够精准识别网蛋白(Plectin),在细胞样本中展现出卓越的细胞骨架连接点特异性染色,清晰标记中间丝与微管、微丝的锚定位点,背景清晰,定位准确,为细胞骨架结构与功能的评估提供可靠依据。 |
| 卓越的染色稳定性与批次一致性:在严格的质控标准下,产品表现出优异的染色/检测稳定性和极低的批间差异,确保不同实验条件下结果的可靠性与可重复性,为细胞生物学及皮肤病理学研究提供稳定保障。 |
| 适用于多类关键应用场景 |
|---|
| 细胞骨架结构与力学研究:用于研究Plectin在维持细胞形态、机械强度及抵抗外界应力中的核心作用。 |
| 遗传性大疱性表皮松解症诊断:作为大疱性表皮松解症伴肌营养不良亚型的关键诊断标志物,用于患者的组织病理学诊断与鉴别诊断。 |
| 肿瘤细胞侵袭与迁移研究:用于探索Plectin在肿瘤细胞(如胶质瘤、胰腺癌)伪足形成、细胞极性及迁移过程中的作用机制。 |
| 肌肉结构与功能研究:用于研究Plectin在骨骼肌和心肌中连接中间丝与肌节Z盘的功能,及其在维持肌纤维完整性中的作用。 |
专业技术支持:我们提供详尽的产品技术资料,包括在皮肤及肌肉组织中的染色方案、细胞骨架共定位实验建议及专业化的图像分析指导,全力协助客户在细胞骨架生物学及遗传性皮肤病研究中获得精准、可靠的发现。
杭州斯达特生物科技有限公司始终致力于为全球创新药企与科研机构提供高质量、高价值的生物试剂与解决方案。如需了解更多关于"Plectin重组兔单克隆抗体"(货号S0B1355)的详情或申请样品测试,欢迎与我们联系。
产品信息
声明:本篇文章在创作中部分采用了人工智能辅助。如有任何内容涉及版权或知识产权问题,敬请告知,我们承诺将在第一时间核实并撤下。
